本网讯 近日,我校林学与园林学院林木资源培育安徽省重点实验室黄兴召副教授在《Earth's Future》(IF=8.2,中科院一区)发表土地利用变化对土壤有机碳影响的最新研究论文,题目为“Land Use Change Alters Soil Organic Carbon: Constrained Global Patterns and Predictors”

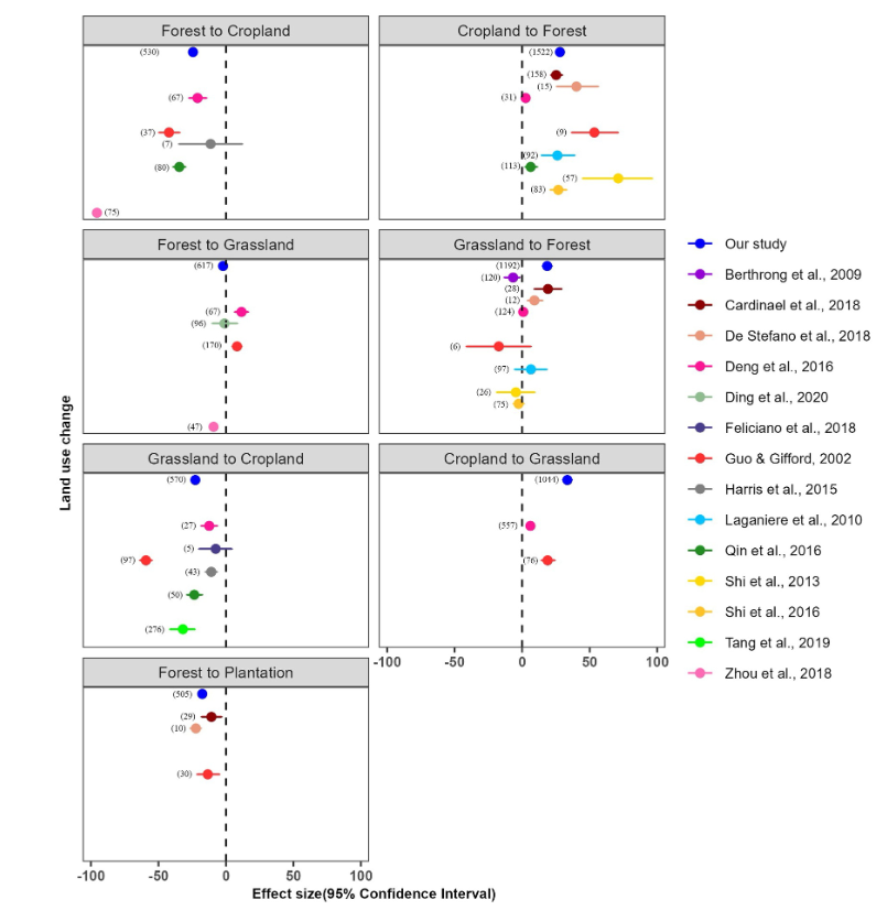
土壤是陆地生态系统最大的碳库,土壤有机碳储量(两米)是大气中碳含量的三倍。土地利用变化是仅次于化石燃料燃烧的第二大大气碳源,已成为全球环境变化的核心领域。由于观测的数量有限和地理偏差,土地利用变化对土壤有机碳的影响仍然缺乏全面的认知。我们从790篇文章中收集了84个国家7种土地利用变化类型的5980数据集,评估了森林转化农田、森林转化草地、森林转化人工林、农田转化森林、农田转化草地、草地转化农田、草地转化森林对土壤有机碳增加或者减少的绝对值和相对值,解析了气候、地形、土壤等10个变量对土壤有机碳影响的相对重要性。从1979年到2019年,退耕还林和还草仅恢复了49.5%和75.3%的土壤有机碳。我们的数据集促进了全面认识土地利用变化对土壤有机碳的影响,对开展不同土地利用变化类型有机碳变化的精准预测具有重要价值,对缓解气候变化和保障粮食安全具有重要意义。

安徽农业大学林学与园林学院黄兴召副教授为第一作者,中科院华南植物园博士后Muhammed Mustapha Ibrahim和侯恩庆研究员为共同通讯作者,美国康奈尔大学骆亦其教授和姜丽芬研究员,中科院地球环境研究所陈骥研究员参与了此项工作。安徽农业大学为第一作者单位。研究获得了国家重点研发计划、国家自然科学基金、安徽省教育厅项目,安徽省重点研发计划,美国国家科学基金(NSF)、美国能源部橡树岭国家实验室项目、美国农业部(USDA)等项目的资助。
论文链接:https://doi.org/10.1029/2023EF004254